Fájl:Dihidroartemizinin.svg

Innen: kémia
A lap korábbi változatát látod, amilyen Laci (vitalap | szerkesztései) 2020. május 8., 01:19-kor történt szerkesztése után volt.
Ugrás a navigációhoz Ugrás a kereséshez

Eredeti fájl(SVG fájl, névlegesen 248 × 228 képpont, fájlméret: 21 KB)

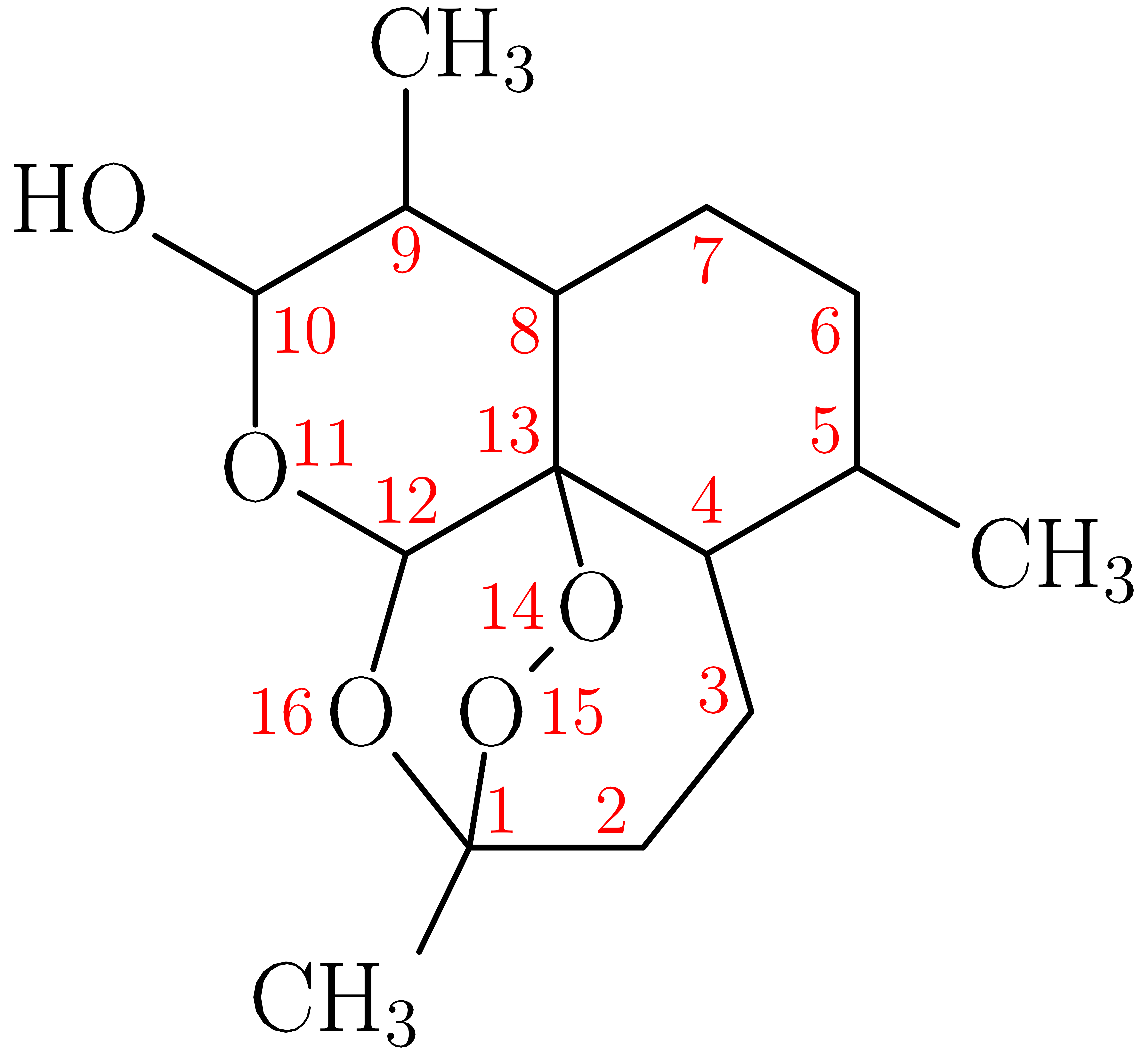
IUPAC-név (1R,4S,5R,8S,9R,10S,12R,13R)-1,5,9-Trimetil-11,14,15,16-tetraoxatetraciklo[10.3.1.04,13.08,13]hexadekán-10-ol
Összegképlet C15H24O5
Enwiki Dihydroartemisinin
SMILES O1[C@H](O)[C@@H](C4CC[C@@H](C)[C@H]3[C@@]42OOC(O[C@@H]12)(C)CC3)C

Fájltörténet

Kattints egy időpontra, hogy a fájl akkori állapotát láthasd.

Dátum/időBélyegképFelbontásFeltöltőMegjegyzés
aktuális2020. május 7., 17:38Bélyegkép a 2020. május 7., 17:38-kori változatról248 × 228 (21 KB)Laci (vitalap | szerkesztései)

Az alábbi lap használja ezt a fájlt:

Metaadatok