Fájl:Ibogamin.svg
Ugrás a navigációhoz
Ugrás a kereséshez

Ennek a(z) SVG fájlnak ezen PNG formátumú előnézete: 238 × 303 képpont. További felbontás: 1 609 × 2 048 képpont.
Eredeti fájl (SVG fájl, névlegesen 238 × 303 képpont, fájlméret: 23 KB)
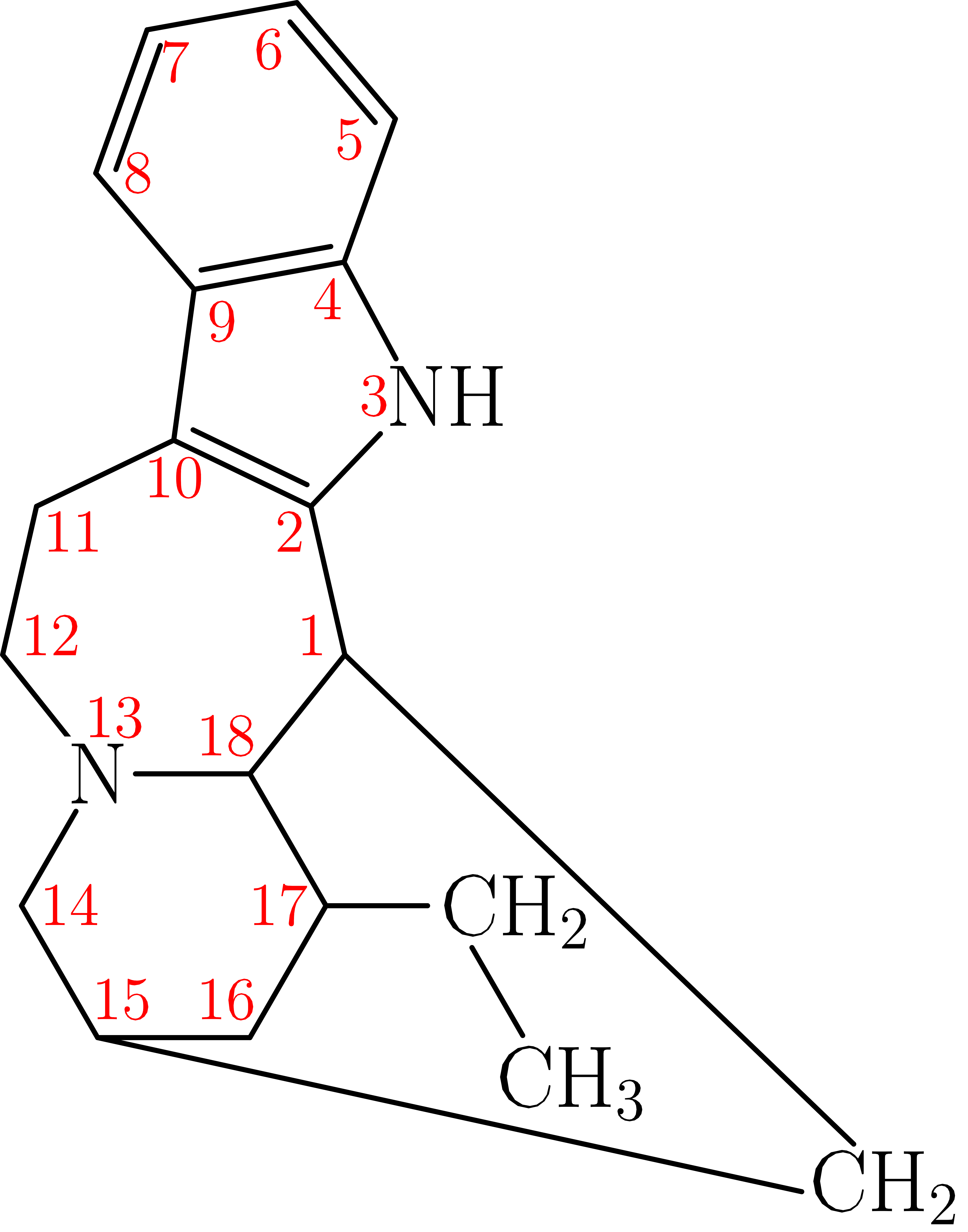
IUPAC-név | 17-Etil-3,13-diazapentaciklo[13.3.1.02,10.04,9.013,18]nonadeka-2(10),4(9),5,7-tetraén |
---|---|
Összegképlet | C19H24N2 |
Enwiki | Ibogamine |
SMILES | CC[C@H]1C[C@@H]2C[C@@H]3[C@H]1N(C2)CCc4c3[nH]c5c4cccc5 |
Fájltörténet
Kattints egy időpontra, hogy a fájl akkori állapotát láthasd.
Dátum/idő | Bélyegkép | Felbontás | Feltöltő | Megjegyzés | |
---|---|---|---|---|---|
aktuális | 2020. augusztus 3., 15:44 | ![]() | 238 × 303 (23 KB) | Laci (vitalap | szerkesztései) |
Ezt a fájlt nem lehet felülírni.
Fájlhasználat
Az alábbi lap használja ezt a fájlt: